|
|
@@ -62,7 +62,7 @@ void UAbilitySystemComponent::GetLifetimeReplicatedProps(TArray< FLifetimeProper
|
|
|
|
|
|
针对 `SpawnedAttributes`,当从服务器同步属性之后,会触发 `ReplicatedUsing` 配置的 `OnRep_SpawnedAttributes` 函数
|
|
|
|
|
|
-## 同步流程
|
|
|
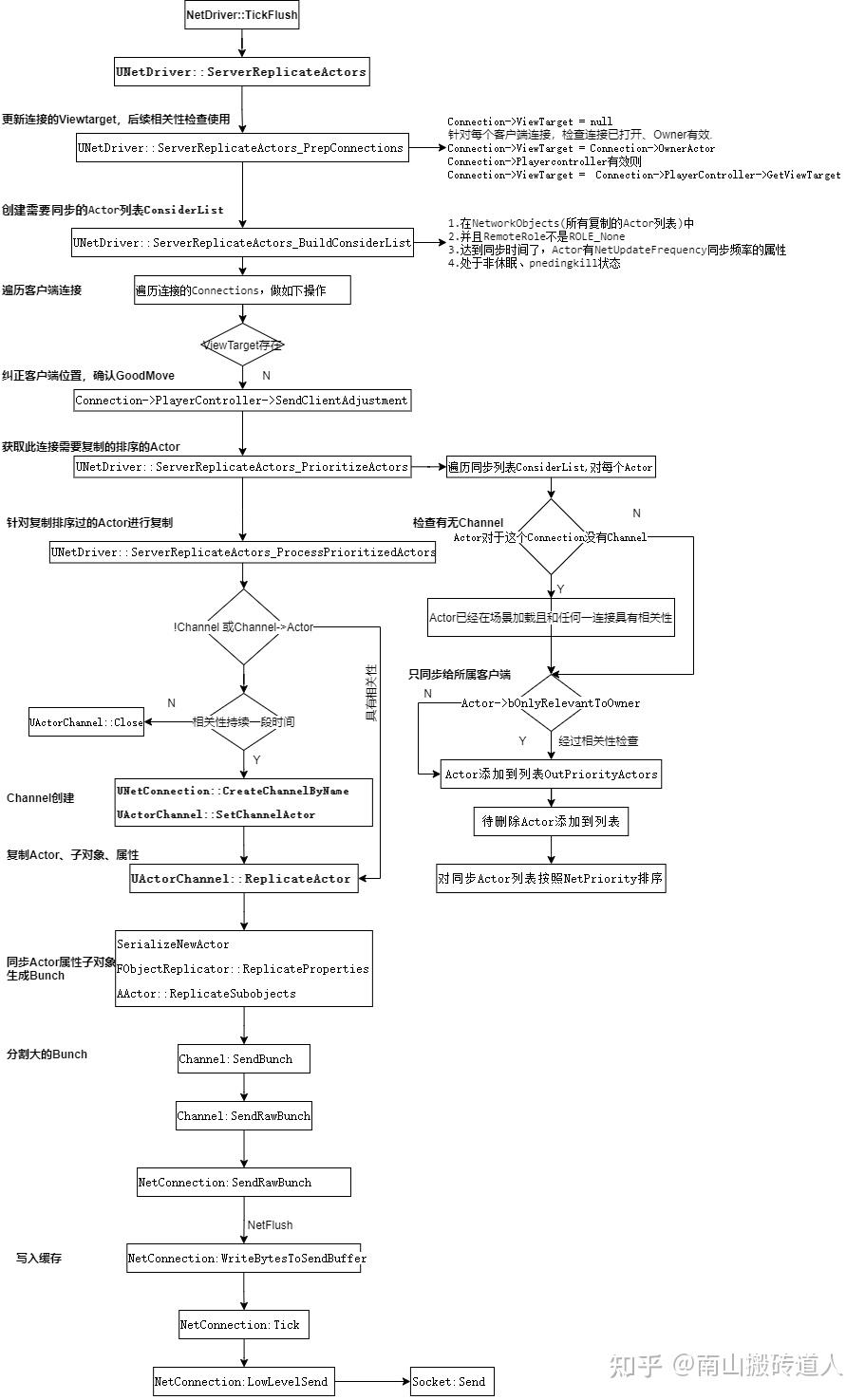
+## NetDriver 同步流程
|
|
|
|
|
|
1. 收集所有的 Actor
|
|
|
2. 属性对比,对比哪些属性发生了变化
|
|
|
@@ -102,6 +102,8 @@ if (ReplicationDriver)
|
|
|
|
|
|
### 开始处理复制
|
|
|
|
|
|
+
|
|
|
+
|
|
|
#### 过滤/更新 ActorInfo
|
|
|
|
|
|
在 `UNetDriver::TickFlush` 时会调用 `ServerReplicateActors` 开启属性复制流程
|
|
|
@@ -140,4 +142,195 @@ if (ReplicationDriver)
|
|
|
2. 同步处理,ServerReplicateActors_ProcessPrioritizedActorsRange
|
|
|
3. 标记相关Actor,ServerReplicateActors_MarkRelevantActors
|
|
|
|
|
|
+不过对 `NetConnection` 进行处理需要满足条件
|
|
|
+
|
|
|
+1. `if (i >= NumClientsToTick)`
|
|
|
+2. `if (Connection->ViewTarge)`
|
|
|
+
|
|
|
+由于 `NetDriver` 中包含多个 `NetConnection`,i 就是遍历 `NetConnection` 的序号,`NumClientsToTick` 表示本次 `Tick` 更新多少个 `NetConnection`,这是为了解决服务器性能不足时跳过部分客户端
|
|
|
+
|
|
|
+由于决定哪些 Actor 需要被赋值时,需要 `ViewTarget`,所以会要求 `ViewTarget` 有效
|
|
|
+
|
|
|
+通过 `UNetConnection` 来构建 `FNetViewer`,计算得到 视图源点的世界坐标位置 和 视图方向的单位向量
|
|
|
+
|
|
|
+```cpp
|
|
|
+FNetViewer::FNetViewer(UNetConnection* InConnection, float DeltaSeconds) :
|
|
|
+ Connection(InConnection),
|
|
|
+ InViewer(InConnection->PlayerController ? InConnection->PlayerController : InConnection->OwningActor),
|
|
|
+ ViewTarget(InConnection->ViewTarget),
|
|
|
+{
|
|
|
+ APlayerController* ViewingController = InConnection->PlayerController;
|
|
|
+
|
|
|
+ // Get viewer coordinates.
|
|
|
+ ViewLocation = ViewTarget->GetActorLocation();
|
|
|
+ if (ViewingController)
|
|
|
+ {
|
|
|
+ FRotator ViewRotation = ViewingController->GetControlRotation();
|
|
|
+ ViewingController->GetPlayerViewPoint(ViewLocation, ViewRotation);
|
|
|
+ ViewDir = ViewRotation.Vector();
|
|
|
+ }
|
|
|
+}
|
|
|
+```
|
|
|
+
|
|
|
+| FNetViewer 属性 | 作用 |
|
|
|
+| --- | --- |
|
|
|
+| Connection | 当前视图关联的网络连接对象 |
|
|
|
+| InViewer | 控制网络视图的 Actor(通常是 PlayerController) |
|
|
|
+| ViewTarget | 实际用于观察的对象 Actor,比如 PlayerCharacter |
|
|
|
+| ViewLocation | 视图源点的世界坐标位置 |
|
|
|
+| ViewDir | 视图方向的单位向量 |
|
|
|
+
|
|
|
+通过 `NetConnection` 和其 `ChildConnection` 得到 `TArray<FNetViewer>`
|
|
|
+
|
|
|
+```cpp
|
|
|
+const bool bProcessConsiderListIsBound = OnProcessConsiderListOverride.IsBound();
|
|
|
+
|
|
|
+if (bProcessConsiderListIsBound)
|
|
|
+{
|
|
|
+ // 通过事件,转发给 DisplayClusterReplication 进行处理
|
|
|
+ OnProcessConsiderListOverride.Execute( { DeltaSeconds, Connection, bCPUSaturated }, Updated, ConsiderList );
|
|
|
+}
|
|
|
+
|
|
|
+if (!bProcessConsiderListIsBound)
|
|
|
+{
|
|
|
+ // 执行常规复制流程
|
|
|
+ // ServerReplicateActors_PrioritizeActors
|
|
|
+ // ServerReplicateActors_ProcessPrioritizedActorsRange
|
|
|
+ // ServerReplicateActors_MarkRelevantActors
|
|
|
+}
|
|
|
+```
|
|
|
+
|
|
|
+通过前面一系列操作,已经收集到这些信息
|
|
|
+
|
|
|
+- `TArray<FNetworkObjectInfo*> ConsiderList` 存储着本帧需要被处理的对象
|
|
|
+- `TArray<FNetViewer>& ConnectionViewers` 存储着本 `NetConnection` 关联的视角信息
|
|
|
+
|
|
|
+##### ServerReplicateActors_PrioritizeActors
|
|
|
+
|
|
|
+主要是对 `ConsiderList` 和 `DestroyedStartupOrDormantActors` 进行处理
|
|
|
+
|
|
|
+`DestroyedStartupOrDormantActors` 主要是用于记录和管理 启动状态下被销毁 和 休眠状态下被销毁的 Actor
|
|
|
+
|
|
|
+针对 `ConsiderList`
|
|
|
+
|
|
|
+通过 `AActor::IsNetRelevantFor` 筛选出与当前 `NetConnection` 相关的 `Actor`
|
|
|
+
|
|
|
+- `bAlwaysRelevant` 强制相关开关
|
|
|
+- 该 `Actor` 的 `Owner` 或者 `Instigator` 是 `ViewTarget` 或者 `InViewer`
|
|
|
+- 该 `Actor` 的 `Owner` 的 `IsNetRelevantFor` 返回值,向 `Owner` 递归
|
|
|
+- 该 `Actor` 的 `RootComponent` 的 `AttachParetn` 的 `Owner` 的 `IsNetRelevantFor`
|
|
|
+- 距离判断,`Actor` 与 `ViewTarget` 距离不嫩超过 `NetCullDistanceSquared`
|
|
|
+
|
|
|
+如果全局变量设置为允许休眠 也就是 `GSetNetDormancyEnabled`,需要判断 `Actor` 能否休眠
|
|
|
+
|
|
|
+```cpp
|
|
|
+/** 如果需要休眠 返回 true */
|
|
|
+ENGINE_API virtual bool GetNetDormancy(const FVector& ViewPos, const FVector& ViewDir, class AActor* Viewer, AActor* ViewTarget, UActorChannel* InChannel, float Time, bool bLowBandwidth);
|
|
|
+```
|
|
|
+
|
|
|
+> 需要子类重写该函数, `Actor` 默认函数返回 `false`
|
|
|
+
|
|
|
+将符合条件的 `Actor` 封装到 `FActorPriority` 中
|
|
|
+
|
|
|
+```cpp
|
|
|
+OutPriorityList[FinalSortedCount] = FActorPriority( PriorityConnection, Channel, ActorInfo, ConnectionViewers, bLowNetBandwidth );
|
|
|
+```
|
|
|
+
|
|
|
+最后对 `OutPriorityList` 进行根据 `Priority` 属性大小,从大到小进行排序
|
|
|
+
|
|
|
+```cpp
|
|
|
+Algo::SortBy(MakeArrayView(OutPriorityActors, FinalSortedCount), &FActorPriority::Priority, TGreater<>());
|
|
|
+```
|
|
|
+
|
|
|
+`FActorPriority` 在构造的时候会计算 `Priority` 也就是优先级
|
|
|
+
|
|
|
+```cpp
|
|
|
+Priority = 0;
|
|
|
+const float Time = Channel ? (InConnection->Driver->GetElapsedTime() - Channel->LastUpdateTime) : InConnection->Driver->SpawnPrioritySeconds;
|
|
|
+for (int32 i = 0; i < Viewers.Num(); i++)
|
|
|
+{
|
|
|
+ Priority = FMath::Max<int32>(Priority, FMath::RoundToInt(65536.0f * ActorInfo->Actor->GetNetPriority(Viewers[i].ViewLocation, Viewers[i].ViewDir, Viewers[i].InViewer, Viewers[i].ViewTarget, InChannel, Time, bLowBandwidth)));
|
|
|
+}
|
|
|
+```
|
|
|
+
|
|
|
+如果是新的 `Actor` 它没有 `Channel`,则使用 `SpawnPrioritySeconds` 配置进行赋值;否则使用当前时间减去上次更新时间的差值
|
|
|
+
|
|
|
+然后调用 `AActor::GetNetPriority` 进行优先级计算
|
|
|
+
|
|
|
+1. 自己就是 ViewTarget 则 Time * 4
|
|
|
+2. 如果在 ViewTarget 后方,距离 ViewTarget 超过远距离 则 Time * 0.2;超过近距离 则 Time * 0.4
|
|
|
+3. 如果在 ViewTarget 前方,距离 ViewTarget 不超过一定数值,且与角色夹角小于一定数值,则 Time * 2
|
|
|
+4. 如果在 ViewTarget 前方,距离 VieTarget 超过一定数值,则 Time * 0.4
|
|
|
+5. 其他情况 Time 不变
|
|
|
+
|
|
|
+最后将 `Time * AActor::NetPriority` 得到该 `Actor` 真正的优先级
|
|
|
+
|
|
|
+可见,一个 `Actor` 的复制优先级,是根据 `Actor` 在 `ViewTarget` 的 **视角** 和 **距离** 进行评判
|
|
|
+
|
|
|
+如果想要手动设置 `Actor` 的优先级,可以直接其 `NetPriority` 属性的大小
|
|
|
+
|
|
|
+> `NetPriority` 是 `BlueprintReadWrite` 的
|
|
|
+
|
|
|
+##### ServerReplicateActors_ProcessPrioritizedActorsRange
|
|
|
+
|
|
|
+按 **优先级顺序** 对一段 `Actors` 子集进行复制
|
|
|
+
|
|
|
+- 传入 ActorsIndexRange 表示数组子区间
|
|
|
+- 传入 bIgnoreSaturation 表示忽略带宽饱和,默认 false
|
|
|
+- 输出 OutUpdated 计数
|
|
|
+
|
|
|
+```cpp
|
|
|
+FNetworkObjectInfo* ActorInfo = PriorityActors[j]->ActorInfo;
|
|
|
+```
|
|
|
+
|
|
|
+PriorityActors 中包含需要被删除的 Actor
|
|
|
+
|
|
|
+在处理一个 FNetworkObjectInfo 时,先判断其是否是要被销毁的 Actor 判断条件就是 `ActorInfo == NULL && PriorityActors[j]->DestructionInfo`
|
|
|
+
|
|
|
+```cpp
|
|
|
+// 发送销毁信息
|
|
|
+SendDestructionInfo(Connection, PriorityActors[j]->DestructionInfo);
|
|
|
+```
|
|
|
+
|
|
|
+其他情况表示需要同步 Actor
|
|
|
+
|
|
|
+如果 Actor 没有对应的 Channel 则创建对应的 Channel 并绑定 Actor
|
|
|
+
|
|
|
+```cpp
|
|
|
+Channel = (UActorChannel*)Connection->CreateChannelByName( NAME_Actor, EChannelCreateFlags::OpenedLocally );
|
|
|
+if ( Channel )
|
|
|
+{
|
|
|
+ Channel->SetChannelActor(Actor, ESetChannelActorFlags::None);
|
|
|
+}
|
|
|
+```
|
|
|
+
|
|
|
+设置本次复制的一些信息:`OptimalNetUpdateDelta` 、`LastNetReplicateTime` 、`RelevantTime` 用于以后的一些条件判断
|
|
|
+
|
|
|
+在检查通道带宽之后,开始 **进行复制**
|
|
|
+
|
|
|
+```cpp
|
|
|
+// 检查 通道是否饱和
|
|
|
+if ( Channel->IsNetReady( 0 ) || bIgnoreSaturation)
|
|
|
+{
|
|
|
+ // do something
|
|
|
+ if(Channel->ReplicateActor()) // 真正复制 Actor 数据 并 发送数据
|
|
|
+ {
|
|
|
+ // do something
|
|
|
+ }
|
|
|
+ // do somehting
|
|
|
+}
|
|
|
+```
|
|
|
+
|
|
|
+##### ServerReplicateActors_MarkRelevantActors
|
|
|
+
|
|
|
+网络带宽不足时,智能标记那些需要在下帧优先处理的 Actor
|
|
|
+
|
|
|
+```cpp
|
|
|
+PriorityActors[k]->ActorInfo->bPendingNetUpdate = true;
|
|
|
+```
|
|
|
+
|
|
|
+## ReplicateActor
|
|
|
+
|
|
|
+属性复制的核心逻辑就在 `Channel->ReplicateActor()` 中
|
|
|
+
|
|
|
|